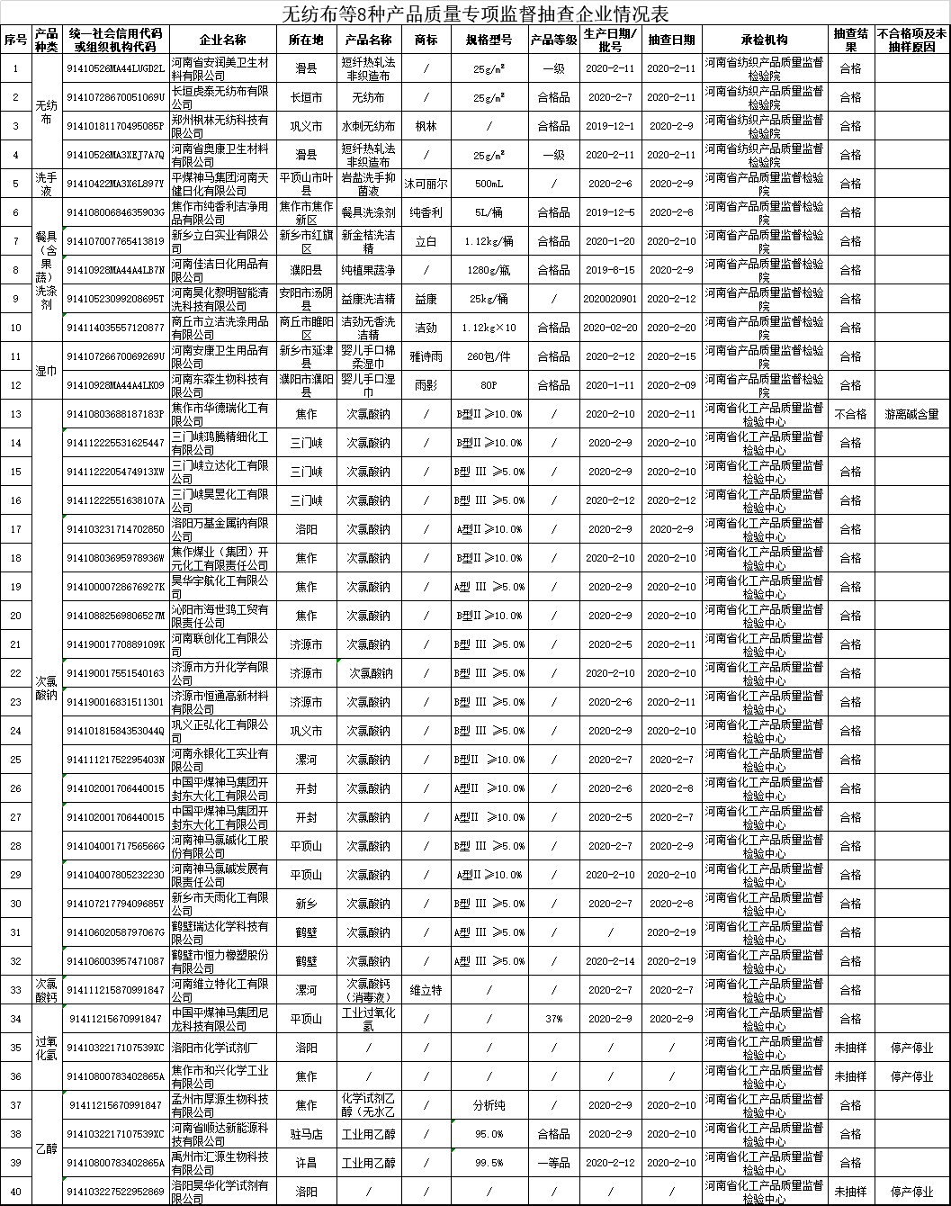
中国食品安全网讯(高硕) 本次共抽查了无纺布、洗手液、餐具(含果蔬)洗涤剂、湿巾、次氯酸钠、次氯酸钙、过氧化氢、乙醇等8种产品,涉及39家次企业。有3家企业因停产停业未抽到样品。实际抽样检验了全省36家次企业生产的37批次产品。具体抽查情况如下:
无纺布
本次共抽查了巩义、长垣、滑县等3个地市(县)4家企业生产的4批次无纺布产品。本次抽查依据FZ/T64012—2013《卫生用水剌法非织造布》、FZ/T64052—2014《短纤热轧法非织造布》、FZ/T64005—2011《卫生用薄型非织造布》及《2020年疫情防控期间无纺布产品质量专项监督抽查实施方案》,对无纺布产品的单位面积质量偏差率、纵向断裂强力、横向断裂强力、Ph值等项目进行了检验。经检验,4批次产品全部符合标准要求。
洗手液
本次抽查了平顶山市1家企业生产的1批次洗手液产品。本次抽查依据Q/PHTJ 005-2018《岩盐洗手抑菌液》及《2020年疫情防控期间洗手液产品质量专项监督抽查实施方案》,对洗手液产品的总活性物含量、汞、砷、铅、菌落总数、霉菌和酵母菌、粪大肠菌群、铜绿假单胞菌、金黄色葡萄球菌等项目进行了检验。经检验,该批次产品符合标准要求。
餐具(含果蔬)洗涤剂
本次共抽取了安阳、新乡、焦作、濮阳、商丘等5个地市5家企业生产的5批次餐具(含果蔬)洗涤剂产品。本次抽查依据GB/T 9985-2000《手洗餐具用洗涤剂》及《2020年疫情防控期间餐具(含果蔬)洗涤剂产品质量专项监督抽查实施方案》,对餐具(含果蔬)洗涤剂产品的总活性物含量、pH值、去污力、荧光增白剂、甲醇、甲醛、砷(1%溶液中以砷计)、重金属(1%溶液中以铅计)、菌落总数、大肠菌群等项目进行了检验。经检验,5批次产品全部符合标准要求。
湿巾
本次抽取了濮阳、许昌2个地市2家企业生产的2批次湿巾产品。本次抽查依据GB/T 27728-2011《湿巾》及《2020年疫情防控期间湿巾产品质量专项监督抽查实施方案》,对湿巾产品的可迁移性荧光增白剂、包装密封性、pH、含液量、微生物指标等项目进行了检验。经检验,2批次产品全部符合标准要求。
次氯酸钠
本次抽取了三门峡、洛阳、焦作、济源、开封、漯河、巩义、平顶山、新乡、鹤壁等10个地市(县)19家企业生产的20批次次氯酸钠产品。本次抽查依据GB/T 15063-2013《次氯酸钠》及《2020年疫情防控期间次氯酸钠产品质量专项监督抽查实施方案》,对次氯酸钠产品的有效氯含量、游离碱、铁含量、砷、重金属等项目进行了检验。经检验,19批次符合标准要求,1个批次不符合标准要求,主要涉及游离碱含量项目。
次氯酸钙
本次抽取了漯河市1家企业生产的1批次次氯酸钙产品。本次抽查依据GB/T 10666-2008《次氯酸钙(漂粉精)》及《2020年疫情防控期间次氯酸钙产品质量专项监督抽查实施方案》,对次氯酸钙产品的有效氯含量、pH值等项目进行了检验。经检验,该批次产品符合标准要求。
过氧化氢
本次共抽查了3家企业,有2家企业因停产停业未抽到样品。实际抽取了平顶山市1家企业生产的1批次过氧化氢产品。本次抽查依据GB/T 1616-2014《工业过氧化氢》及《2020年疫情防控期间过氧化氢产品质量专项监督抽查实施方案》,对过氧化氢产品的过氧化氢质量分数、游离酸、不挥发物、稳定度、硝酸盐等项目进行了检验。经检验,该个批次产品符合标准要求。
乙醇
本次共抽查了4家企业,有1家企业因停产停业未抽到样品。实际抽取了焦作、驻马店、许昌等3个地市3家企业生产的3批次乙醇产品。本次抽查依据GB/T 678-2002《化学试剂 乙醇(无水乙醇)》、GB/T 6820-2016《工业用乙醇》及《2020年疫情防控期间乙醇产品质量专项监督抽查实施方案》,对乙醇产品的色度、乙醇含量、酸含量、醛含量、甲醇、异丙醇、高锰酸钾氧化时间、蒸发残渣、硫酸试验等项目进行了检验。经检验,3批次产品全部符合标准要求。
另附无纺布等8种产品质量专项监督抽查企业情况表:




不良信息举报中心
不良信息举报平台
黑猫投诉
广告刊例